3 ème
Chapitre 1
Pourquoi les météorites tombent-elles sur Terre ?
étape 5
Exercice d'entrainement :
5-1 Calulez la force de gravitation qu'exerce la Terre sur vous :
Pour cela vous avez besoin de connaitre les grandeurs de la formule : la masse de la terre, votre masse, la distance qui vous sépare du centre de gravité de la Terre.
A vous de jouer, n'oubliez pas de rédiger votre calcul.
Données utiles :

Exemple pour une personne de 50 kg
.jpg?v=1ktpc1c)
5-2 Calculez la force de gravitation qu'exercerait la lune sur vous. (web)
vidéo d'aide :
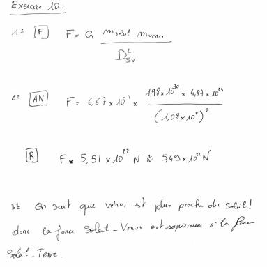
5-3 Exercices
Correction :
5 - 4 Plus gros plus fort tu as tord !
Une voiture de 900 kg et un camion de 33 tonnes sont garés côte à côte. Le camion exerce une force de gravitation d'environ 8 x 10-3 N sur la voiture.

a. Quelle est la valeur de la force de gravitation exercée par la voiture sur le camion ?Justifie ta réponse.
b . Représente ces forces de gravitation sur un schéma.
Pour simplifier, chaque véhicule sesa représenté par un point.
LaTerre exerce une force de gravitation d'environ 10^10 N sur la voiture.
c. Compare cette force avec celle exercée par le camion sur la voiture.
CORRECTION 5-4
5-6 Qui tire le plus
En observant la trajectoire de la Lune par rapport au Soleil, Nabil émet l'hypothèse que la force de gravitation exercée par la Terre sur la Lune est plus importante que celle exercée par le Soleil sur la Lune, sinon la Lune s'éloignerait de la Terre pour se rapprocher du Soleil.

En utilisant la formule permettant de calculer la valeur des forces de gravitation et les données ci-dessous, vérifiez si l'hypothèse de Nabil est correcte.